제품
애플리케이션
참조
품질
지원하다
소식
회사 소개
Login

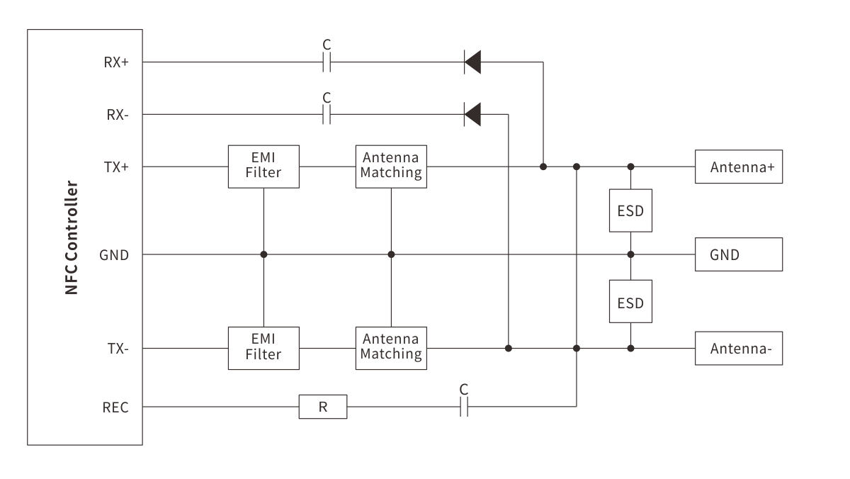
NFC

Build Semiware into your application circuit

요약 응용 회로도 서류 다른

요약

NFC (Near Field Communication) is widely used in scenarios such as mobile phone payment, access control, and transportation cards. As a radio frequency communication technology, NFC has a relatively open interface and is frequently exposed to the external environment. Therefore, it is easily interfered with or even damaged by electrostatic discharge (ESD).

Test Level:
IEC61000-4-2 Contact-8kV Air-15kV

응용 회로도

귀하의 시스템에 적합한 제품 및 참조 설계를 찾아보세요

NFC

기타 관련

Touch Screen SD Card SIM eSATA MIC Audio GPS